+91 8837355298
Pay Fees
Parent Portal
Contact Us
Imphal P.B. No.: 38
Imphal, Manipur - 795001 - India
+91 8837355298
Home
About Us
Principal’s Message
Vision and Mission
Admission
School Academic Session – 2022 TO 2023
Announcement
Lottery Form for Admission to Class-I, 2025
Gallery
Vaccancy
Contact Us
Announcement :
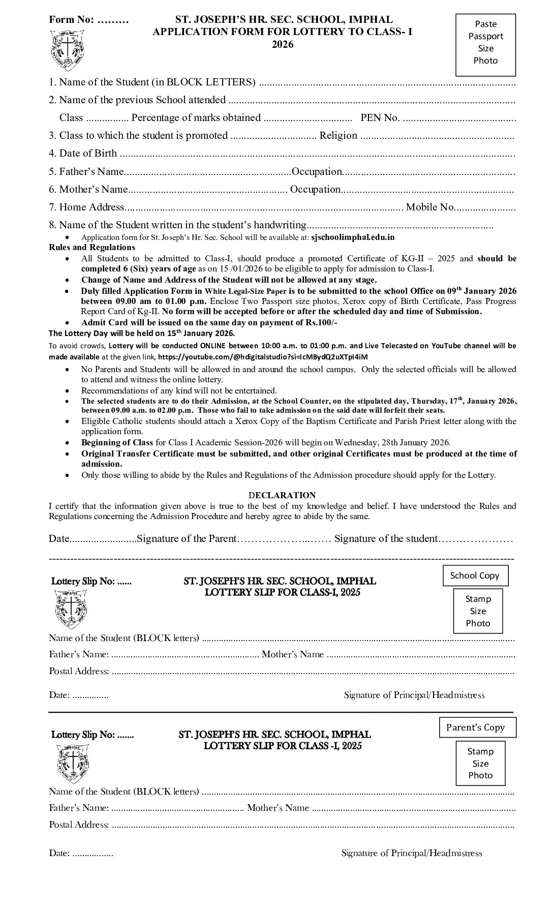
Lottery-Form-for-Admission-to-Cl-I-2026
APPLICATION FORM FOR LOTTERY TO CLASS-1 ACADEMIC SESSION – 2026
Lottery-Form-for-Admission-to-Cl-I-2026
Fr Ashiho Bonio
11 Dec 2025
04 : 12 : AM
Recent
Posts
Lottery-Form-for-Admission-to-Cl-I-2026
11 Dec 2025
NOTIFICATION FOR RECRUITMENT OF STUDENTS TO CLASS-1, ACADEMIC SESSION – 2026
10 Dec 2025
APPLICATION FORM FOR LOTTERY TO CLASS-1 ACADEMIC SESSION – 2026
10 Dec 2025